赢乐welcome
  • 邮件系统
  • OA系统
  • ARP
  • English
  • 中国科学院
  • 首页
  • 所况简介
    所况简介
    1964年,为落实国家声学规划,满足国家迫切需要,形成全国声学学科研究中心,经国务院副总理聂荣臻元帅批准,成立赢乐welcome(以下简称赢乐welcome),将原中科院电子所的水声、超声、建筑声3个实验室,1958年成立的南海研究站、1960年成立的东海研究站、1961年成立的北海研究站整体纳入赢乐welcome。赢乐welcome是从事声学和信息处理技术研究的综...
    了解更多+
    现任领导
    李风华
    所长
    库卫群
    党委书记、副所长
    李明庚
    副所长(正局级)
    杨 军
    副所长
    杨 波
    副所长
    王 雷
    纪委书记
  • 赢乐welcome概况
    领导机构
    所务会 党委会
    咨询机构
    学术委员会 学位评定委员会
    职能部门
    综合办公室 党委办公室 人力资源部 科技发展部 重大任务部 财务管理部 资产条件保障部 质量管理部 保密办公室 监督审计(纪委)办公室 造船办公室

    研究站
    南海研究站 东海研究站 北海研究站
    挂靠机构
    中国声学学会 全国声学标准化委员会 中国科学院声学计量站(CMA)
    研究单元
    声场声信息实验室
    水下环境信息感知实验室
    水下信息技术实验室
    海洋声学技术实验室
    水下航行器实验室
    超声学实验室
    噪声与音频声学实验室
    智能网络与信息处理技术实验室
    语音与智能信息处理实验室
    无人信息系统研究中心
  • 科研成果
    研究领域
    经过六十多年的发展,赢乐welcome形成了独具特色的六大研究领域:水声物理与水声探测技术、环境声学与噪声控制技术、超声学与声学微机电技术、通信声学和语言语音信息处理技术、声学与数字系统集成技术、高性能网络与网络新媒体技术。 【详情】
    成果概况
    获奖
    论文
    专利
    专著
    科研进展
    研究人员提出气泡群动力学新模型并对超声空化阈值进行数值模拟
    2026-01-16
    研究人员揭示碳封存地层流体流动对孔隙储层声传播特性的影响规律
    2025-12-05
    研究人员提出一种基于全波形反演的偶极声波测井近井壁成像方法
    2025-12-01
    赢乐welcome团队提出的Super RoCE技术方案获得北京算力互联领域优秀案例奖
    2025-10-11
    研究人员提出一种具备波束会聚能力的条纹-相关基波束形成算法
    2025-07-29
    研究人员揭示来流湍流度对柱-翼干涉噪声影响的规律
    2025-07-22
    研究人员提出一种用于水下目标探测的无网格稀疏恢复距离-角度估计方法
    2025-06-20
    研究人员提出一种基于声阻抗效应的声表面波气体传感新方法
    2025-02-14
    赢乐welcome极地声学研究取得突破性进展
    2025-01-23
    研究人员在蜂窝结构中发现反常声传播特征并展示其在脱粘缺陷检测中的潜力
    2025-01-16
    赢乐welcome论文被评选为“2024年度中国高影响力数据论文”
    2024-12-11
  • 人才队伍
    院士专家
    汪德昭
    马大猷
    应崇福
    张仁和
    侯朝焕
    李启虎
    汪承灏
    王海斌
    人才招聘
    更多+
    赢乐welcome专项项目管理办公室岗位招聘启事
    2026-01-21
    赢乐welcome2025年特别研究助理(博士后)招聘启事
    2025-04-03
    赢乐welcome2025年招聘启事
    2025-04-03
    赢乐welcome资产条件保障部岗位招聘启事
    2025-03-18
    赢乐welcome诚邀优秀青年人才申报2025年度海外优青项目
    2025-03-03
    正高级专业技术岗位
    副高级专业技术岗位
    中科院青年创新促进会会员
    特别研究助理及博士后管理
  • 研究生教育
  • 党建与文化
    活动报道
    更多+
    集思广益谋开局——赢乐welcome召开新年系列座谈会
    2026-01-27
    水下航行器党总支召开党员大会
    2026-01-23
    东海研究站科学家精神教育基地启动
    2026-01-16
    北海研究站组织元旦联欢活动
    2026-01-06
    超声学党总支第二党支部召开党员大会
    2026-01-06
  • 科学传播
    工作动态
    更多+
    赢乐welcome参加“嗨,科学!”中国科学院第八届科学节北京主场活动
    2025-11-05
    科学之"声" 启迪未来——赢乐welcome成功举办第二十一届公众科学日活动
    2025-05-20
    我们的耳朵——中国科学院青促会北京分会 “爱科学小课堂”第 23期科普活动在赢乐welcome举行
    2024-09-10
    北京市中关村中学走进北海站开展科学实践活动
    2024-07-15
    《中国医学影像技术》5T专刊在京发布 国内首次系统性地在学术期刊上介绍和展示世界首创的超高场5T磁共振技术
    2024-06-28
    科技期刊
    科普文章
    更多+
    科普文章丨耳机里的声音为什么会有方向感?
    科普文章丨嘿,siri!嘈杂的酒吧里,AI为什么听不懂指令?
    科普文章丨神奇的主动降噪技术
    科普视频
    更多+
    科普视频丨杨波:揭秘“深海勇士号”载人潜水器
    科普视频丨声音的奥秘
    科普视频丨真空无法传声科普实验
    科普视频丨借声波一臂之力探神秘海底世界
  • 信息公开
    信息公开规定
    信息公开指南
    信息公开目录
    信息公开申请
    信息公开年度报告
    信息公开联系方式
  • 首页
  • 所况简介
    • 机构简介
    • 所长致辞
    • 现任领导
    • 历任主要领导
      • 历任所长
      • 历任党委书记
    • 院所风貌
  • 赢乐welcome概况
    • 党的委员会
    • 学术委员会
    • 学位评定委员会
    • 赢乐welcome概况
      • 领导机构
      • 咨询机构
      • 研究平台
        • 研究单元
        • 重点实验室(工程中心)
      • 职能部门
      • 研究站
      • 挂靠机构
  • 科研成果
    • 研究领域
    • 科研进展
    • 科研产出
      • 获奖
      • 论文
      • 专著
      • 专利
  • 人才队伍
    • 院士专家
    • 正高级专业技术岗位
    • 副高级专业技术岗位
    • 中科院青年创新促进会会员
      • 2011
      • 2012
      • 2013
      • 2014
      • 2015
      • 2016
      • 2017
      • 2018
      • 2019
      • 2020
      • 2021
      • 2022
      • 2023
    • 特别研究助理及博士后管理
      • 博士后公告
      • 博士后规章
    • 人才招聘
  • 研究生教育
  • 党建与文化
    • 党群园地
    • 组织文化
    • 形象标识
    • 活动报道
    • 文化副刊
      • 诗歌
      • 书画
      • 摄影
      • 散文
  • 科学传播
    • 时间轴
    • 工作动态
    • 科普作品
      • 科普文章
      • 科普视频
      • 其他
    • 科技期刊
  • 信息公开
    • 信息公开规定
    • 信息公开指南
    • 信息公开目录
    • 信息公开申请
    • 信息公开年度报告
    • 信息公开联系方式
  • 要闻
  • 党建动态
  • 综合新闻
  • 媒体报道
  • 学术交流
  • 通知公告
  • 最美科学家
  • 专题
  • 专题
    • 党的二十届四中全会
    • 科学家精神教育基地
    • 深入贯彻八项
    • 2025年全国两会
    • 学习贯彻党的二十届三中全会
    • 科技自立自强之路
    • 2024年全国两会
    • 平语近人(第3季)
    • 中国科学院2024年度工作会议
    • 科技创新再出发
    • 学习贯彻习近平新时代中国特色社会主义思想主题教育
    • 学习两会精神
    • 学习宣传贯彻党的二十大精神
    • 中国科学院2022年度工作会
    • 2021年终科技盘点
    • 中国科学院“基础研究十条”
    • 十九届六中全会
    • 党史学习教育
    • 不忘初心牢记使命
    • 率先行动
    • 两学一做
    • 防灾减灾
    • 十八届四中全会
    • 喜迎十八大
    • 十九届五中全会
    • 深切缅怀汪承灏院士
      • 讣告
      • 汪承灏院士治丧委员会
      • 生平传记
      • 追忆悼念
      • 科研成果
      • 科学家精神
      • 音容笑貌
  • 快捷通道
    • OA系统
    • 继续教育网
    • ARP
    • 违法违纪举报
    • 信访渠道
    • 图书馆
    • 正版软件
    • 网站地图
    • 联系我们
    • 在线资源
  • 友情链接
    • 新闻媒体
    • 政府机构和组织
    • 国内院校
    • 国内科研机构
    • 国际科研机构
  • 网站纠错
  • 联系我们
科普作品
科普文章
科普视频
其他
科普文章
您当前的位置:
首页 科学传播 科普作品 科普文章

科普文章丨声学知识拍了拍你的哲学笔记本

发布时间:2021-11-04 作者:赫兹科普社 何琪
【  小 中 大  】

  年年岁岁花相似,岁岁年年人不同。又到一年高考季,但今年似乎连凑热闹点评作文的同学都不太多,是因为看不懂嘛?果然,再也不是多年前那个“上知天文,下知地理,中晓人和”的阳光美少年了……

  高中的习题集是找不到了,印象中都卖废品换成快乐水啦。但大学期间的课堂笔记倒有保存一些,偶尔翻出来看看还是会觉得蛮有意思:

  听科学严谨的大物导师讲哲学是怎样的体验?

  这里分享几页自己的独门秘籍给大家:

  

  ▲ (图/课本《声学基础》)

  

  ▲ (简谐振动:位移随时间的变化规律呈余弦形式)

  做实验:将弹簧一端固定,另一端系一个大小适中的重物,重量不能太轻使弹簧感觉不到,也不能太重让弹簧彻底没了感觉,用手往下拉或者向上推一下重物,观察弹簧的带飞轨迹。

  知识点:声是由物体振动而来,当质量为M的物体系于弹性系数为K的弹簧上,无外力干扰时质点在平衡位置附近做往返运动,其位移随时间的变化规律呈余弦形式。

  哲学点:《周易·丰》指出,日中则昃,月盈则食,天地盈虚,与时消息。

  宇宙间一切的运动变化都有起有伏,有兴有衰,人生亦是如此。顺、逆境是交替循环的,保持一颗平常心,巅峰时刻不骄不躁、低谷期间不卑不亢。

  

  ▲ (图/知乎网友Heinrich)

  

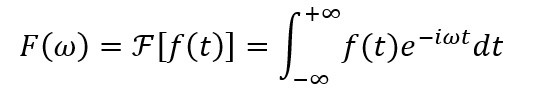
  ▲ (傅里叶变换:将满足一定条件的某个函数表示成三角函数)

  做实验:没必要闻鸡起舞,也无需夜深人静,平平常常地记录一小段歌喉,安安静静地导入软件里就可以分析信号了,不要分享你的成果给其余人,他们只觉得吵闹。

  知识点:任何连续测量的时域信号,都可以表示为不同频率的正弦波信号的叠加。

  哲学点:《金刚经》指出,一切有为法,如梦幻泡影,如露亦如电,应作如是观。

  事物的表象纷繁复杂,会遮蔽我们的眼睛,成为认识中的障碍。因此不要对此过于执着,透过表象深入本质,才能真正洞彻自然和人生的奥秘。

  

  ▲ (图/课本《声呐技术》)

  

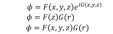
  ▲ (N元等间距线阵的归一化自然指向性函数)

  做实验:风和日丽的一天,拿着设备去沙滩记录海浪“哭的声音”,虽然说碓城堡是很有趣啦,但也应该偶尔地关注下仪器是否在正常工作,毕竟老师更想看“利用环境噪声互相关实现散射体无源成像”的专业报告,而非你是整个沙场最强建筑师的朋友圈。

  知识点:N个无方向性阵元组成的接收传感器阵,将所有阵元的信号相加得到的输出便是基阵的自然指向性。若有一远场平面波入射到基阵,它的输出幅度会随着平面波入射角度的变化而变化。

  哲学点:《论语》指出,吾十有五志于学。

  找到某种境遇下最合适自己的方向往往是最重要的,选择有时会比努力重要,找准方向是第一步,合宜的境遇中做合宜的事情,终成大器。

  

  ▲ (图/课本《水声学原理》)

  

  ▲ (浅海的声传播规律)

  做实验:稿纸准备就绪、笔芯蓄势待发、热水刚好满上,在知识的海洋里自由探索吧。

  知识点:声场的波动方程是一个二阶偏微分方程,仅在某些特定的边界条件下有解析形式的解。根据使用的特定几何假设及解的表达形式的不同,波动方程有多种类型的数值解。常见的有:射线方法、简正波方法、抛物方程方法等。

  哲学点:《周易·系辞下》指出,不可为典要,唯变所适。

  一切都在变化之中,并没有一个永恒不变的实体。人生在世,面临无数的境遇与选择,亦非一成不变。人生没有唯一解,具体问题具体分析。

  

  ▲ (图/课本《水声学原理》)

  

  ▲ (开阔海域的典型温度剖面图)

  做实验:海有点儿深,水有点儿冷,亲身去直观感受有点费劲儿……出海做实验借助仪器观察即可,

  晕船的时候钓钓鱼、拍拍照,风景那也是极好的。

  知识点:海水中的声速随温度、盐度和静压力而变,可以用经验公式来表示他们之间的关系。海水中的声速变化,相对其本身一般是很小的,但由此引起的声传播特性却可能发生大的变化,导致海水中的声能分布、声传播距离等发生明显变化。

  哲学点:《鬼谷子·抵巇(音同“西”)》指出,经起秋毫之末,挥之于太山之本。

  我们无时无刻不是独立地、与世界相关联地生活着,一些小的变化或许就会对我们的生活造成大的影响,因此需要见微知著,知几知微。

  

  ▲ (图/2016年论文 Multisnapshot Sparse Bayesian Learning for DOA)

  

  ▲ (信噪比:信号与噪声的比例)

  做实验:老师讲课的声音倒也蛮洪亮,可耐不住左边的“三杀”和右边的鼾声渐起,知识点就慢慢地被淹没听不见了……

  知识点:信号功率与噪声功率的差值,用分贝表示,称为信噪比。信噪比越高,角度估计性能越好,误差越小。

  哲学点:《庄子·达生》指出,用志不分,乃凝于神。

  受到太多外界干扰时,容易迷失方向,无法专心致志,集中精神。抑制掉那些无用的信息,全神贯注,才能有所收获。

  “看大物如大雾,不能大悟终将大误”这个段子当年很火,常见临时抱佛脚的同学感慨于考试前。然而物理本身是一门通过观察并开展实验来跟大自然打交道的学问,探索规律的起点应由感性的好奇心开始,并不是对着天书念经,那样只能“学物理,如雾里,雾里看物理,勿理物理”……

  声学就是有趣的物理学分支学科之一,水声、电声、噪声、建筑声、心理声、生物声、地震声……听得到、听不到,听上瘾、听烦躁的都能研究,十分欢迎今年高考的优秀新同学填报相关专业,未来可以一起科wan研shua、探索未知,也希望奋战在一线的老同学们可以不忘初心,继续热爱。

  (中国人民大学哲学系尹海洋对本文亦有贡献)


附件下载:

上一篇:

裁判必备的哨子,竟然来源于足球场上的一次意外

下一篇:

科普文章丨耳机里的声音为什么会有方向感?

旧版回顾 | 网站地图 | 联系我们
© 1996 - 2021 赢乐welcome 版权所有备案序号:京ICP备16057196号-1
京公网安备110402500001号地址:北京市海淀区北四环西路21号赢乐welcome
邮编:100190
官方微信