
赢乐welcome第十三届书画摄影大赛圆满落幕
由赢乐welcome工会主办、赢乐welcome摄影协会承办的赢乐welcome第十三届书画摄影大赛圆满落幕。本次比赛以庆祝中国共产党成立100周年、弘扬党的艰苦奋斗优良传统为活动宗旨,展示我所师生科研工作的发展和变化,用镜头、笔墨讲述科研攻关的感人故事、祖国的大好河山、迤逦风光,为深入实施率先行动计划、建设创新型国家和世界科技强国汇聚正能量。本次大赛共收到作品159幅,经过评委老师的打分,最终选出一二三等奖作品40幅以及若干优秀奖作品。
此次书画摄影大赛的摄影组共产生一等奖七名,分别是海洋声学技术实验室廖佳伟的《全海深载人潜水器水池实验》、水下环境信息感知实验室戈弋的《三亚海试日出》、水下信息技术实验室金盛龙的《冬日黎明》、智能网络与信息处理技术实验室张宇翔的《角楼》、质量管理部陈涛的《玩伴》、声场声信息实验室吴禹沈的《云上云下》及水下航行器实验室司昌龙的《晚舟》。其中,获奖作品《全海深载人潜水器水池实验》展现出我所师生在进行科研攻关时不畏艰险、敢为人先的精神面貌;获奖作品《角楼》,采用经典的中心对称式构图,城楼左右对称、倒影与角楼上下对称,在橙黄色的灯光和深蓝色夜幕的强对比中,凸显了夜晚角楼的古典之美。

摄影组一等奖:《全海深载人潜水器水池实验》(廖佳伟)

摄影组一等奖:《三亚海试日出》(戈弋)

摄影组一等奖:《冬日黎明》(金盛龙)

摄影组一等奖:《角楼》(张宇翔)

摄影组一等奖:《玩伴》(陈涛)

摄影组一等奖:《云上云下》(吴禹沈)

摄影组一等奖:《千岛湖·晚舟》(司昌龙)
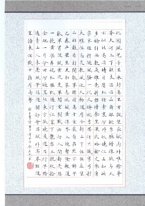
书法组的一等奖由超声学实验室王文的《毛泽东诗词》夺得,其运笔流畅大气,线条充满力量感和节奏感,充分展现出诗词中的磅礴气势。

书法组一等奖:《毛泽东诗词》(王文)
附件下载: